Graph Neural Network for GlueX FCAL data - Regression Tutorial#

#%pip -q install uproot awkward torch-geometric scikit-learn safetensors tqdm > /dev/null
%pip install -q uproot awkward scikit-learn safetensors tqdm
%pip install -q torch-geometric
%pip install -q torch-scatter -f https://data.pyg.org/whl/torch-2.10.0+cu128.html
?25l   ━━━━━━━━━━━━━━━━━━━━━━━━━━━━━━━━━━━━━━━━ 0.0/393.8 kB ? eta -:--:--
   ━━━━━━━━━━━━━━━━━━━━━━━━━━━━━━━━━━━━━━━━ 393.8/393.8 kB 19.0 MB/s eta 0:00:00
?25h?25l   ━━━━━━━━━━━━━━━━━━━━━━━━━━━━━━━━━━━━━━━━ 0.0/919.6 kB ? eta -:--:--
   ━━━━━━━━━━━━━━━━━━━━━━━━━━━━━━━━━━━━━━━━ 919.6/919.6 kB 35.5 MB/s eta 0:00:00
   ━━━━━━━━━━━━━━━━━━━━━━━━━━━━━━━━━━━━━━━━ 656.7/656.7 kB 42.3 MB/s eta 0:00:00
     ━━━━━━━━━━━━━━━━━━━━━━━━━━━━━━━━━━━━━━━━ 63.7/63.7 kB 5.6 MB/s eta 0:00:00
   ━━━━━━━━━━━━━━━━━━━━━━━━━━━━━━━━━━━━━━━━ 1.3/1.3 MB 75.2 MB/s eta 0:00:00
     ━━━━━━━━━━━━━━━━━━━━━━━━━━━━━━━━━━━━━━━━ 10.9/10.9 MB 44.1 MB/s eta 0:00:00
?25h
import torch
print(torch.__version__)
print("CUDA available:", torch.cuda.is_available())
print("CUDA:", torch.version.cuda)
2.10.0+cu128
CUDA available: True
CUDA: 12.8
import os
from urllib.parse import urlparse
import urllib.request
from tqdm import tqdm

import uproot
import awkward as ak
import numpy as np

import torch
import torch.nn as nn
import torch.nn.functional as F

from torch.utils.data import Dataset
from torch_geometric.data import Data
from torch_geometric.loader import DataLoader
from torch_geometric.nn import SAGEConv, global_mean_pool, global_max_pool

import matplotlib.pyplot as plt
from contextlib import nullcontext
class DownloadProgressBar(tqdm):
    def update_to(self, blocks=1, block_size=1, total_size=None):
        if total_size is not None:
            self.total = total_size
        self.update(blocks * block_size - self.n)

def download(url, target_dir):
    os.makedirs(target_dir, exist_ok=True)

    filename = os.path.basename(urlparse(url).path)
    local_path = os.path.join(target_dir, filename)

    if os.path.exists(local_path):
        print(f"✅ File already exists: {local_path}")
        return local_path

    print(f"⬇️ Downloading {filename} from {url}")
    with DownloadProgressBar(unit='B', unit_scale=True, miniters=1, desc=filename) as t:
        urllib.request.urlretrieve(url, filename=local_path, reporthook=t.update_to)

    print(f"✅ Download complete: {local_path}")
    return local_path

data_dir = "data"
unformatted_particle_data_url = "https://huggingface.co/datasets/AI4EIC/DNP2025-tutorial/resolve/main/unformatted_dataset/ParticleGunDataSet_800k.root"
data_dir = "data"
gun_root = download(unformatted_particle_data_url, data_dir)
⬇️ Downloading ParticleGunDataSet_800k.root from https://huggingface.co/datasets/AI4EIC/DNP2025-tutorial/resolve/main/unformatted_dataset/ParticleGunDataSet_800k.root
ParticleGunDataSet_800k.root: 102MB [00:03, 30.4MB/s]                           
✅ Download complete: data/ParticleGunDataSet_800k.root

Read ROOT arrays#

tree = uproot.open(gun_root)["FCALShowers"]

branches = [
    "rows", "cols", "energies",
    "showerE", "thrownEnergy",
    "numBlocks", "isNearBorder",
    "isSplitOff", "isPhotonShower"
]

arr = tree.arrays(branches, library="ak")

rows_ak = arr["rows"]
cols_ak = arr["cols"]
en_ak   = arr["energies"]

showerE      = ak.to_numpy(arr["showerE"]).astype(np.float32)
thrownE      = ak.to_numpy(arr["thrownEnergy"]).astype(np.float32)
numBlocks    = ak.to_numpy(arr["numBlocks"]).astype(np.int32)
isNearBorder = ak.to_numpy(arr["isNearBorder"]).astype(bool)
isSplit      = ak.to_numpy(arr["isSplitOff"]).astype(bool)
isPhoton     = ak.to_numpy(arr["isPhotonShower"]).astype(bool)

Keep Photons Only

photon_idx = np.where(isPhoton)[0]

print("Total events:", len(isPhoton))
print("Photon events kept:", len(photon_idx))
Total events: 814151
Photon events kept: 434845

Train/Val/Test Split#

from sklearn.model_selection import train_test_split

indices = photon_idx

train_idx, temp_idx = train_test_split(indices, test_size=0.30, random_state=42)
val_idx, test_idx   = train_test_split(temp_idx, test_size=0.50, random_state=42)

print(f"Train: {len(train_idx)}")
print(f"Val:   {len(val_idx)}")
print(f"Test:  {len(test_idx)}")
Train: 304391
Val:   65227
Test:  65227

Graph Construction#

FCAL_GEOMETRY = (59, 59)
ENERGY_SCALE  = 0.05
CLIP_MAX      = 2.0

def logE_norm(E, e0=ENERGY_SCALE, emax=CLIP_MAX, eps=1e-9):
    E = np.clip(E.astype(np.float32, copy=False), 0.0, emax)
    Z = np.log1p(E / np.float32(e0))
    Z = Z / np.log1p(np.float32(emax) / np.float32(e0))
    return np.clip(Z, 0.0, 1.0).astype(np.float32)

def build_edges_8n(rows, cols):
    idx = {(int(r), int(c)): i for i, (r, c) in enumerate(zip(rows, cols))}
    neigh = [(-1,-1), (-1,0), (-1,1),
             ( 0,-1),         ( 0,1),
             ( 1,-1), ( 1,0), ( 1,1)]
    edges = []
    for i, (r, c) in enumerate(zip(rows, cols)):
        r = int(r)
        c = int(c)
        for dr, dc in neigh:
            j = idx.get((r + dr, c + dc), None)
            if j is not None:
                edges.append((i, j))

    if len(edges) == 0:
        return torch.empty((2, 0), dtype=torch.long)

    return torch.tensor(edges, dtype=torch.long).t().contiguous()

def shower_to_graph(rows, cols, energies, showerE, numBlocks, isNearBorder, eps=1e-9):
    rows = np.asarray(rows, dtype=np.int64)
    cols = np.asarray(cols, dtype=np.int64)
    Eraw = np.asarray(energies, dtype=np.float32)

    if len(Eraw) == 0:
        return None

    E = logE_norm(Eraw)

    Esum = float(Eraw.sum()) + eps
    row_c = float((rows * Eraw).sum() / Esum)
    col_c = float((cols * Eraw).sum() / Esum)

    dx = (rows - row_c).astype(np.float32)
    dy = (cols - col_c).astype(np.float32)
    rr = np.sqrt(dx * dx + dy * dy).astype(np.float32)

    row_n = (rows.astype(np.float32) / (FCAL_GEOMETRY[0] - 1)) * 2 - 1
    col_n = (cols.astype(np.float32) / (FCAL_GEOMETRY[1] - 1)) * 2 - 1

    Efrac = (Eraw / Esum).astype(np.float32)
    logE  = np.log(Eraw + eps).astype(np.float32)

    # Node features:
    # [row_n, col_n, E_logscaled, logEraw, Efrac, dx, dy, rr]
    x = np.stack([row_n, col_n, E, logE, Efrac, dx, dy, rr], axis=1).astype(np.float32)
    x = torch.tensor(x, dtype=torch.float32)

    edge_index = build_edges_8n(rows, cols)

    data = Data(x=x, edge_index=edge_index)
    data.g = torch.tensor([[float(showerE), float(numBlocks), float(isNearBorder)]], dtype=torch.float32)
    return data

Dataset for Regression#

  • data.y = thrownEnergy if you want to predict the true energy from the graph

  • keep data.showerE as the conventional baseline for later comparison

class FCALPhotonRegressionDataset(Dataset):
    def __init__(self, idx_list, target="thrownE"):
        self.idx = np.asarray(idx_list, dtype=np.int64)
        self.target = target

    def __len__(self):
        return len(self.idx)

    def __getitem__(self, i):
        j = int(self.idx[i])

        rows = ak.to_numpy(rows_ak[j])
        cols = ak.to_numpy(cols_ak[j])
        ens  = ak.to_numpy(en_ak[j])

        data = shower_to_graph(
            rows, cols, ens,
            showerE=showerE[j],
            numBlocks=numBlocks[j],
            isNearBorder=isNearBorder[j]
        )

        if data is None:
            raise RuntimeError(f"Empty graph encountered at index {j}")

        # Regression target
        if self.target == "thrownE":
            target_value = float(thrownE[j])
        elif self.target == "showerE":
            target_value = float(showerE[j])
        else:
            raise ValueError("target must be 'thrownE' or 'showerE'")

        data.y = torch.tensor([target_value], dtype=torch.float32)

        # Useful metadata
        data.showerE = torch.tensor([float(showerE[j])], dtype=torch.float32)
        data.thrownE = torch.tensor([float(thrownE[j])], dtype=torch.float32)
        data.numBlocks = torch.tensor([float(numBlocks[j])], dtype=torch.float32)
        data.isNearBorder = torch.tensor([float(isNearBorder[j])], dtype=torch.float32)

        return data

DataLoaders#

BATCH_SIZE = 512

train_loader = DataLoader(
    FCALPhotonRegressionDataset(train_idx, target="thrownE"),
    batch_size=BATCH_SIZE,
    shuffle=True
)

val_loader = DataLoader(
    FCALPhotonRegressionDataset(val_idx, target="thrownE"),
    batch_size=BATCH_SIZE,
    shuffle=False
)

test_loader = DataLoader(
    FCALPhotonRegressionDataset(test_idx, target="thrownE"),
    batch_size=BATCH_SIZE,
    shuffle=False
)

batch = next(iter(train_loader))
batch
DataBatch(x=[4067, 8], edge_index=[2, 16664], g=[512, 3], y=[512], showerE=[512], thrownE=[512], numBlocks=[512], isNearBorder=[512], batch=[4067], ptr=[513])

GNN model for Regression#

Built for scalar regression

Main changes:

  • final output size is 1

  • no softmax/logits

  • same graph pooling structure

class SmallGNNRegressor(nn.Module):
    def __init__(self, node_in=8, g_in=3, hidden=64, dropout=0.1):
        super().__init__()

        self.conv1 = SAGEConv(node_in, 64) # (N, node_in=8)  -> (N, 64)
        self.conv2 = SAGEConv(64, 64)      # (N, 64) -> (N, 64)
        self.conv3 = SAGEConv(64, hidden)  # (N, 64) -> (N, hidden)

        self.head = nn.Sequential(
            nn.Linear(2 * hidden + g_in, 128),
            nn.ReLU(),
            nn.Dropout(dropout),
            nn.Linear(128, 1)
        )

    def forward(self, data):
        x, ei, b = data.x, data.edge_index, data.batch

        x = F.relu(self.conv1(x, ei))   # (Ntot, node_in=8)  -> (Ntot, 64)
        x = F.relu(self.conv2(x, ei))   # (Ntot, 64)  -> (Ntot, 64)
        x = F.relu(self.conv3(x, ei))   # (Ntot, 64)  -> (Ntot, hidden)

        pooled = torch.cat([global_mean_pool(x, b), global_max_pool(x, b)], dim=1)
        # (Ntot x hidden) -> (B x 2*hidden)

        out = self.head(torch.cat([pooled, data.g], dim=1))
        # (B x 2*hidden) + (B x 3) -> (B x (2*hidden + 3)) -> head -> (B x 1)

        return out.view(-1)

Evaluation Function for Regression#

DEVICE = "cuda" if torch.cuda.is_available() else "cpu"
USE_AMP = (DEVICE == "cuda")

@torch.inference_mode()
def evaluate_gnn_regression(model, loader, desc="Eval"):
    model.eval().to(DEVICE)

    ys, preds = [], []
    showerEs, thrownEs = [], []

    total_loss = 0.0
    total_n = 0

    bar = tqdm(loader, desc=desc, leave=False)
    for batch in bar:
        batch = batch.to(DEVICE)

        pred = model(batch)              # [B]
        yb   = batch.y.view(-1)          # [B]

        loss = F.mse_loss(pred, yb, reduction="sum")
        total_loss += float(loss.item())
        total_n += yb.numel()

        ys.append(yb.cpu().numpy())
        preds.append(pred.cpu().numpy())
        showerEs.append(batch.showerE.view(-1).cpu().numpy())
        thrownEs.append(batch.thrownE.view(-1).cpu().numpy())

    y_true = np.concatenate(ys) if ys else np.array([])
    y_pred = np.concatenate(preds) if preds else np.array([])
    showerE_out = np.concatenate(showerEs) if showerEs else np.array([])
    thrownE_out = np.concatenate(thrownEs) if thrownEs else np.array([])

    mse = total_loss / max(1, total_n)
    rmse = np.sqrt(mse) if total_n > 0 else np.nan
    mae = np.mean(np.abs(y_pred - y_true)) if total_n > 0 else np.nan

    return mse, rmse, mae, y_true, y_pred, showerE_out, thrownE_out

Training Loop for Regression#

Try HuberLoss or MSELoss. HuberLoss is often more stable.

def train_gnn_regression(model, opt, train_loader, val_loader, epochs=20):
    scaler = torch.amp.GradScaler('cuda') if USE_AMP else None
    criterion = nn.HuberLoss(delta=0.1)

    model.to(DEVICE)

    best_val_rmse = float("inf")
    best_state = None
    patience = 5
    bad = 0

    for epoch in range(1, epochs + 1):
        model.train()

        running_loss = 0.0
        seen = 0

        bar = tqdm(train_loader, desc=f"Epoch {epoch}/{epochs} (train)", leave=False)

        for batch in bar:
            batch = batch.to(DEVICE)
            yb = batch.y.view(-1)

            opt.zero_grad(set_to_none=True)

            ctx = torch.amp.autocast(device_type='cuda', dtype=torch.float16) if USE_AMP else nullcontext()
            with ctx:
                pred = model(batch)
                loss = criterion(pred, yb)

            if USE_AMP:
                scaler.scale(loss).backward()
                scaler.step(opt)
                scaler.update()
            else:
                loss.backward()
                opt.step()

            running_loss += float(loss.item()) * yb.size(0)
            seen += yb.size(0)

            bar.set_postfix(avg_loss=f"{running_loss / max(1, seen):.4f}")

        train_loss = running_loss / max(1, seen)
        val_mse, val_rmse, val_mae, _, _, _, _ = evaluate_gnn_regression(
            model, val_loader, desc=f"Epoch {epoch}/{epochs} (val)"
        )

        print(
            f"Epoch {epoch:02d} | "
            f"train_loss {train_loss:.4f} | "
            f"val_rmse {val_rmse:.4f} | "
            f"val_mae {val_mae:.4f}"
        )

        if val_rmse < best_val_rmse:
            best_val_rmse = val_rmse
            best_state = {k: v.detach().cpu().clone() for k, v in model.state_dict().items()}
            bad = 0
            print(f"✓ New best RMSE: {best_val_rmse:.4f}")
        else:
            bad += 1
            if bad >= patience:
                print("Early stopping.")
                break

    if best_state is not None:
        model.load_state_dict(best_state)

    return model

Run Training#

EPOCHS = 2
LR = 3e-4

model = SmallGNNRegressor().to(torch.float32)
opt = torch.optim.AdamW(model.parameters(), lr=LR)

model = train_gnn_regression(model, opt, train_loader, val_loader, epochs=EPOCHS)
Epoch 1/2 (train):   0%|          | 0/595 [00:00<?, ?it/s]/usr/local/lib/python3.12/dist-packages/torch_geometric/utils/_scatter.py:91: UserWarning: The usage of `scatter(reduce='max')` can be accelerated via the 'torch-scatter' package, but it was not found
  warnings.warn(
Epoch 01 | train_loss 0.0201 | val_rmse 0.2211 | val_mae 0.1239
✓ New best RMSE: 0.2211
                                                                  
Epoch 02 | train_loss 0.0105 | val_rmse 0.2168 | val_mae 0.1202
✓ New best RMSE: 0.2168

Evaluate on Test Set#

test_mse, test_rmse, test_mae, true_E, pred_E, shower_reco_E, thrown_E_meta = evaluate_gnn_regression(
    model, test_loader, desc="Test"
)

print(f"Test | RMSE = {test_rmse:.4f} GeV | MAE = {test_mae:.4f} GeV")
                                                       
Test | RMSE = 0.2165 GeV | MAE = 0.1192 GeV


Plots#

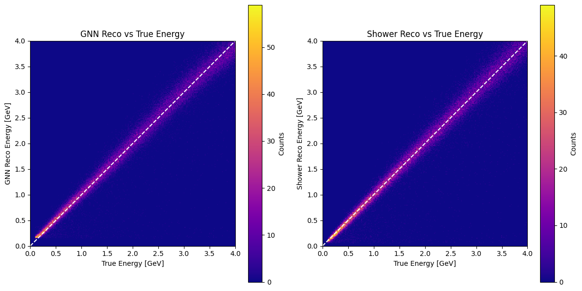
GNN reco vs true energy#

def plot_reco_vs_true(true_E, pred_E, shower_reco_E=None, bins=250):
    ncols = 2 if shower_reco_E is not None else 1
    fig, axes = plt.subplots(1, ncols, figsize=(6 * ncols, 6))

    if ncols == 1:
        axes = [axes]

    h1 = axes[0].hist2d(true_E, pred_E, bins=bins, range=[[0, 4], [0, 4]], cmap="plasma")
    axes[0].plot([0, 4], [0, 4], "w--", lw=1.5)
    axes[0].set_xlim(0, 4)
    axes[0].set_ylim(0, 4)
    axes[0].set_aspect("equal", adjustable="box")
    axes[0].set_title("GNN Reco vs True Energy")
    axes[0].set_xlabel("True Energy [GeV]")
    axes[0].set_ylabel("GNN Reco Energy [GeV]")
    plt.colorbar(h1[3], ax=axes[0], label="Counts")

    if shower_reco_E is not None:
        h2 = axes[1].hist2d(true_E, shower_reco_E, bins=bins, range=[[0, 4], [0, 4]], cmap="plasma")
        axes[1].plot([0, 4], [0, 4], "w--", lw=1.5)
        axes[1].set_xlim(0, 4)
        axes[1].set_ylim(0, 4)
        axes[1].set_aspect("equal", adjustable="box")
        axes[1].set_title("Shower Reco vs True Energy")
        axes[1].set_xlabel("True Energy [GeV]")
        axes[1].set_ylabel("Shower Reco Energy [GeV]")
        plt.colorbar(h2[3], ax=axes[1], label="Counts")

    plt.tight_layout()
    plt.show()
plot_reco_vs_true(true_E, pred_E, shower_reco_E=shower_reco_E)
../_images/0ef3fd9919bc4acfc0a63057b6d0300c490483b78e222ec6c268635d6ef4e323.png

Residual histograms per thrown-energy bin#

def relative_residual(y_true, y_pred):
    return (y_pred - y_true) / np.clip(y_true, 1e-12, None)

def plot_residuals_per_energy_bin(y_true, y_pred, title, nbins=16, xrange=(-1, 1)):
    edges = np.linspace(y_true.min(), y_true.max(), nbins + 1)
    ncols = 5
    nrows = int(np.ceil(nbins / ncols))

    fig, axes = plt.subplots(nrows, ncols, figsize=(16, 3 * nrows))
    axes = np.atleast_1d(axes).ravel()

    resid = relative_residual(y_true, y_pred)

    for i in range(nbins):
        ax = axes[i]
        lo, hi = edges[i], edges[i + 1]
        mask = (y_true >= lo) & (y_true < hi)

        r = resid[mask]
        if len(r) == 0:
            ax.axis("off")
            continue

        mu = np.mean(r)
        sigma = np.std(r)

        ax.hist(r, bins=30, range=xrange, alpha=0.8)
        ax.set_title(f"{lo:.2f}-{hi:.2f} GeV\nμ={mu:+.3f} σ={sigma:.3f}", fontsize=8)
        ax.set_xlim(*xrange)
        ax.tick_params(labelsize=7)

    for j in range(nbins, len(axes)):
        axes[j].axis("off")

    fig.suptitle(title, fontsize=14)
    fig.tight_layout()
    plt.show()
plot_residuals_per_energy_bin(
    true_E,
    pred_E,
    title="Relative Energy Residuals per ThrownE Bin (GNN RecoE)"
)

plot_residuals_per_energy_bin(
    true_E,
    shower_reco_E,
    title="Relative Energy Residuals per ThrownE Bin (Conventional ShowerE)"
)
../_images/5bc5af63ff01e9828ee0a1dd2261897517012098d027e7795614b4df872bc932.png ../_images/541c2a65a281f790fb63b0adbb077e31ee4721b4e599c22b928baef1e20ae8d0.png

Energy resolution vs true energy#

def compute_resolution_vs_energy(y_true, y_pred, nbins=16):
    edges = np.linspace(y_true.min(), y_true.max(), nbins + 1)
    centers, sigmas, sigma_errs = [], [], []

    resid = relative_residual(y_true, y_pred)

    for i in range(nbins):
        lo, hi = edges[i], edges[i + 1]
        mask = (y_true >= lo) & (y_true < hi)

        r = resid[mask]
        t = y_true[mask]

        if len(r) < 10:
            continue

        sigma = np.std(r)
        sigma_err = sigma / np.sqrt(2 * (len(r) - 1))

        centers.append(np.mean(t))
        sigmas.append(sigma)
        sigma_errs.append(sigma_err)

    return np.array(centers), np.array(sigmas), np.array(sigma_errs)

def plot_resolution_comparison(true_E, pred_E, shower_reco_E, nbins=16):
    c1, s1, e1 = compute_resolution_vs_energy(true_E, pred_E, nbins=nbins)
    c2, s2, e2 = compute_resolution_vs_energy(true_E, shower_reco_E, nbins=nbins)

    plt.figure(figsize=(8, 6))
    plt.errorbar(c1, s1, yerr=e1, marker="o", capsize=3, label="GNN RecoE")
    plt.errorbar(c2, s2, yerr=e2, marker="s", capsize=3, label="Conventional ShowerE")

    plt.xlabel("Thrown Energy [GeV]")
    plt.ylabel(r"$\sigma[(E_{\mathrm{reco}}-E_{\mathrm{true}})/E_{\mathrm{true}}]$")
    plt.title("Energy Resolution vs Thrown Energy")
    plt.grid(True, alpha=0.3)
    plt.legend()
    plt.tight_layout()
    plt.show()
plot_resolution_comparison(true_E, pred_E, shower_reco_E, nbins=16)
../_images/dae5ba5daa29694423c83c864a4d6c244dfb51a58a3f918347354b99d247f471.png